Brewster Schools and Family Health Centers invite you to an evening designed to support and celebrate families. Join us on Monday, November 17, 2025, from 5:30–7:00 p.m. in the **High School Library for a relaxed, informative session focused on Parenting Tips.
This family-friendly event blends practical guidance with plenty of good vibes. Come for bite-sized strategies you can use at home, stay for conversation with caring educators and health professionals, and leave with tools that make parenting just a little easier.
What to expect
Topic: Parenting Tips
When: Monday, Nov. 17, 2025 | 5:30–7:00 p.m.
Where: High School Library
Perks: Complimentary snacks and childcare provided
Bonus: End-of-evening raffle with cool prizes
Bring your questions, your curiosity, and a friend. We look forward to learning together!




Meet the Superintendent Finalists
March 23: Matt Holshouser
March 24: Mike Villarreal
Matt Holshouser and Miguel Villarreal have advanced to the final stage of the interview process. Each candidate will spend a full day in the district meeting with staff and students and learning more about the Brewster community.
Please Note: Interview dates have been adjusted due to candidate availability.
🗓 March 23 & 24
🕔 6:30–7:30 PM
📍 Brewster High School Library
Each evening will feature one finalist. Candidates will provide a brief introduction and respond to questions based on themes gathered from the community.
Community members are invited to submit questions in advance by 4:00 PM on March 23 to questionsforcandidates@brewsterbears.org Questions will be reviewed and used to develop a consistent set of topics for each candidate.
This approach allows the community to hear how each candidate responds to the same topics while ensuring community input is reflected in the discussion.
Following each forum, community feedback will be shared with the School Board to help inform their decision.
👥 Families, staff, students, and community members are encouraged to attend!

This is to inform you that the Board of Directors will be holding a Special Board Meeting tomorrow March 19th at 5:30 PM in the High School Library.

Hello Brewster Community Members
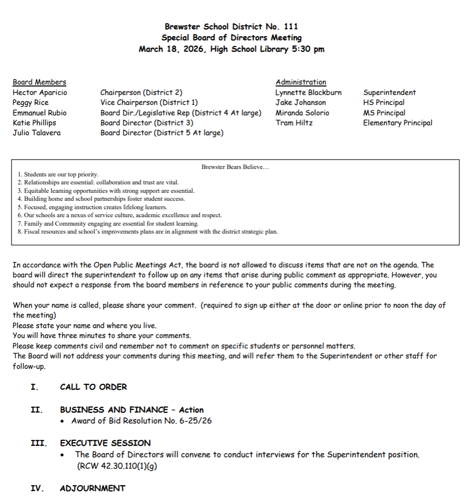
This is to inform you that the Board of Directors will be holding a Special Board Meeting today March 18 at 5:30 PM in the High School Library.

This is to inform you that the Board of Directors will be holding a Special Board Meeting on March 13 at 6:30 PM in the High School Library.
During this meeting, the Board will review superintendent applications and select candidates for preliminary interviews. Please note that this discussion will take place in Executive Session in accordance with RCW 42.30.110(1)(g).



If you are interested in providing input to the Superintendent Search Process, please mark your calendars for the upcoming meeting.
The Board truly values staff involvement and encourages your participation in this important process for our district. Your feedback and perspective will be carefully considered as the Board makes its decision in selecting our next Superintendent.
The Board has scheduled a Special Board Meeting on March 13, 2026, at 6:00 p.m. in the HS Library to review applications and determine the preliminary interview candidates. This will be done in Executive Session.
Preliminary interviews are scheduled for March 18–19, 2026, beginning at 5:30 p.m. in the HS Library, with some flexibility depending on the candidate pool. The Preliminary interviews will also be done in Executive Session.
Final interviews are scheduled for March 25–27, 2026, with one finalist per day. On those days, Staff, Students, and Community members will have designated time to provide input and/or ask questions of each candidate. The schedule will be similar to the format we used during the focus groups.
I am also including a timeline of this plan to provide a clearer outline of what to expect throughout the process. A schedule with group times for March 25, 26, and 27 will be provided at a later date. Have a great weekend everyone!




As we begin our search for our next superintendent, we invite all of you to participate in the first phase of the process. Anyone who chooses to participate will have the opportunity to meet with Joel Aune from Northwest Leadership Associates to provide input. If the times listed below do not fit your schedule, I’ve also included a survey link for you to share your thoughts.
I'm also attaching an overview of the search.
Schedule for Focus Groups – Wednesday, the 17th
8:00 AM – Certificated
9:00 AM – District Office
10:00 AM – Admin Team
11:00 AM – Lunch Break
12:00 PM – Classified
2:00 PM – HS Students
3:00 PM – Certificated/Classified
6:00 PM – Community Meeting in the MS Gym (Interpreter: Ramon Najera)
https://www.surveymonkey.com/r/Brewster2025
https://www.surveymonkey.com/r/BrewsterSpanish
Brewster School District




Healthy Youth Survey


Healthy Youth Survey


